四川肽辉生物科技有限公司
首页
Home
产品展示
Nav
新闻动态
Nav
关于我们
Nav
联系我们
Nav
产品分类
药物肽
定制肽
美容肽
产品详情
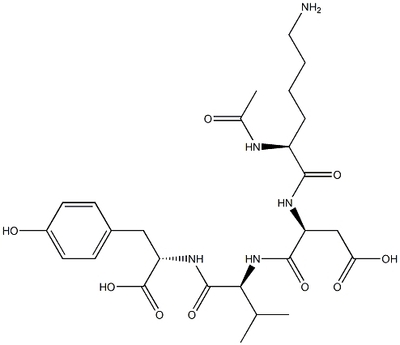
乙酰基四肽-2,757942-88-4,仅用科研
编号 :
TH-2023
中文名 :
乙酰基四肽-2
英文名 :
Acetyl Tetrapeptide-2
cas :
757942-88-4
品牌 :
肽辉
纯度 :
98%,99%
18086836823
上一个
下一个
产品详情
在线客服
张经理
李经理
靳经理
工作时间
周一至周五 :8:30-17:30
周六至周日 :9:00-17:00
联系方式
张经理:18599944286
李经理:18684030212
靳经理:18782979085
客服热线:028-87189093
地址:四川省成都市武侯区领事馆路7号1栋2单元10层1009号